1. matematyka
2. wiedza o społeczeństwie
3. j. angielski
4. j. angielski
5. j. polski (zastępstwo)
6. filozofia
7. religia
Matematyka
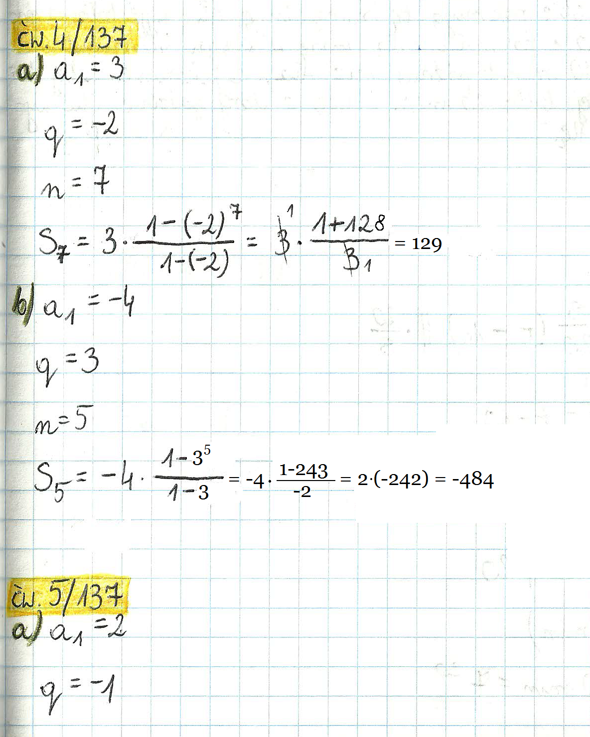
Sprawdzenie pracy domowej:- ćwiczenia: 4 i 5/137,
- matura CKE 2015 - zadanie 31.
![]() |
| Sprawdzenie pracy domowej (1) |
![]() |
| Sprawdzenie pracy domowej (2) |
Na lekcji: ćwiczenia 6 (całe) i 8 (zaczęte)/137.
![]() |
| Lekcja |
Praca domowa:
- ćwiczenie 7/137,
- dokończyć ćwiczenie 8/137,
- matura CKE 2015 - zadanie 32:
Dane są wierzchołki trójkąta ABC: A = (2, 2), B = (9, 5) i C = (3, 9). Z wierzchołka C poprowadzono wysokość tego trójkąta, która przecina bok AB w punkcie D. Wyznacz równanie prostej przechodzącej przez punkt D i równoległej do boku BC.
Otrzymaliśmy instrukcje, jak zrobić to zadanie (w powyższych obliczeniach wszystkie wyniki się zgadzają), ale dalej ani rusz, nie umiem go dokończyć. Na końcu podany jest wynik, który ma wyjść po obliczeniu współrzędnych punktu D.
Filozofia
![]() |
| 5. |
![]() |
| 6. |







Brak komentarzy:
Prześlij komentarz